Auto layout

The auto-layout panel provides customization options for the layout algorithm.

The auto layout panel provides customization
options for the layout algorithm.

You can layout your diagrams automatically by choosing the corresponding context menu items from the diagram context menu. This settings panel lets you specify which direction the layout algorithm should take by default for the alignment.

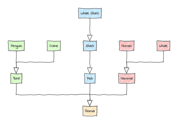
The vertical layout will align all your diagram elements from top to bottom, beginning with the most specialized class, then the more generalized ones further to the bottom.

A vertical class layout

A vertical class layout

A vertical class layout.

Instead, choosing a horizontal layout will organize your elements from left to right, starting with the most derived classes on the left.

A horizontal class layout

A horizontal class layout

A horizontal class layout.

UMLBoard uses the ELK Layered layout algorithm with an orthogonal routing style based on an implementation of Sugiyama, Tagawa, and Toda.

Support for other layout algorithms and additional parameter options is planned for future releases.